OTH24

Material description

Material ID: OTH24

Material type: Wood polymer composite (WPC).

Polymer: Cellulose and polyethylene (80%)

Additives (fire retardants, fillers or traces of inorganic elements): Talc (12%), Ferric Oxide (6%), Silicon (1%), Calcium (1%), traces of other elements (<1%)

Core thickness: 23.22mm

 
Compound Mass Concentration (%)
Cellulose and polyethylene (-) 80
Talc (Mg3Si4O12H2) 12
Ferric Oxide (Fe2O3) 6
Silicon (Si) 1
Calcium (Ca) 1
Traces of aluminium (Al) <1
Traces of sulfur (S) <1
Traces of chlorine (Cl) <1
Traces of potassium (K) <1
Traces of titanium (Ti) <1

A. Material composition identification

A.1 Attenuated total reflection – Fourier transform infrared spectroscopy (ATR-FTIR)

Identified Compounds
Cellulose and polyethylene (-)
Talc (Mg3Si4O12H2)
Ferric Oxide (Fe2O3)
...
Figure 1 . FTIR spectra: Absorbance percentage versus wavenumber from the sample.
...
Figure 2. FTIR spectra: Absorbance percentage versus wavenumber from the sample and the identified compounds.

A.2 Energy Dispersive X-Ray Fluorescence (EDXRF)

Element Mass Concentration (%)
Fe 6
Si 5
Mg 3
Ca 1
Cl <1
Al <1
S <1
K <1
Ti <1
P <1
...
Figure 3. EDXRF spectra. Counts vs energy. Identified elements are shown as vertical lines.

B. Thermogravimetric analysis

Condition Fraction of mass residue at 800°C
Non-oxidative (nitrogen) 0.15
Oxidative (air) 0.07
Peak ID Temperature peak (°C) Amplitude of peak (°C-1)
Peak 1 372 5.34 x 10-3
Peak 2 486 8.79 x 10-3
Peak ID Temperature peak (°C) Amplitude of peak (°C-1)
Peak 1 364 5.58 x 10-3
Peak 2 475 4.59 x 10-3
Peak 3 512 3.56 x 10-3
...
Figure 4. Normalised mass (solid line) and derivative of the normalised mass (dashed line) in 150 ml min-1 of nitrogen and a heating rate of 20°C min-1.
...
Figure 5. Normalised mass (solid line) and derivative of the normalised mass (dashed line) in 150 ml min-1 of air and a heating rate of 20°C min-1 .

C. Gross Heat of Combustion

Trial ΔHc [kJ g-1]
Trial 1 27.60
Trial 2 27.07
Trial 3 27.33
Average 27.33
Std dev 0.27

D. Ignition parameters

Critical heat flux for ignition Ignition temperature Total heat transfer coefficient of losses Apparent thermal inertia
q̇″cr [kW m−2] Tig [°C] hr [W m-2 K-1] kρc [kW2 m-4 K-2 s]
19.50 423 43.50 0.663
...
Figure 6. Time-to-ignition vs incident radiant heat flux for samples.

E. Burning behaviour

Heat flux Test Time to ignition Fraction of mass residue Peak heat release rate Total energy released
q̇″inc [kW m-2] tig [s] mres [-] q̇″p [kW m-2] Qt [MJ m-2]
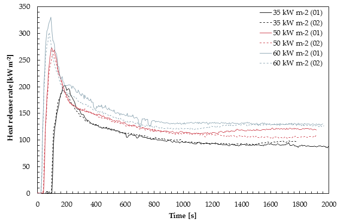
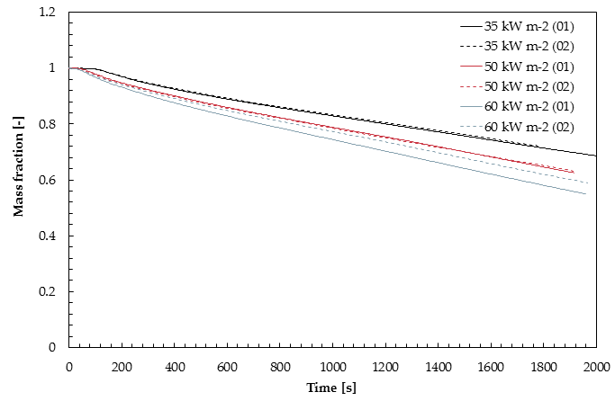
35 kW m-2
Test 1 100 0.63 201.89 194.26
Test 2 97 0.72 193.85 186.87
Avg 98 0.67 197.87 190.56
50 kW m-2
Test 1 45 0.62 273.14 240.62
Test 2 42 0.63 261.03 229.53
Avg 44 0.63 267.08 235.08
60 kW m-2
Test 1 27 0.55 330.29 272.94
Test 2 27 0.59 301.96 257.32
Avg 27 0.57 316.13 265.13
80 kW m-2
Test 1 - - - -
Test 2 - - - -
Avg - - - -
...
Figure 7. Normalised mass loss over time for samples tested with 35, 50, 60 and 80 kW m-2.
...
Figure 8. Heat release rate per unit area over time for samples tested with 35, 50, 60 and 80 kW m-2.
Test ΔHc [kJ g-1]
35 kW m-2 (Test 1) 24.73
35 kW m-2 (Test 2) 25.30
50 kW m-2 (Test 1) 25.31
50 kW m-2 (Test 2) 24.72
60 kW m-2 (Test 1) 24.82
60 kW m-2 (Test 2) 25.45
80 kW m-2 (Test 1) -
80 kW m-2 (Test 2) -
Average 25.06
Std dev 0.33

F. Flame Spread

Orientation q̇″min.spread [kW m-2] Vf.min [mm s-1]
Horizontal 4.80 -
Vertical 4.20 -
...
Figure 9. Lateral flame spread rate versus heat flux.
...
Figure 10. Vertical flame spread rate versus heat flux.
...
Figure 11. Vf-1/2 as function of q̇″ext in horizontal configuration.
...
Figure 12. Vf-1/2 as function of q̇″ext in vertical configuration.
Orientation Trial (kρcpΦh2)12 [m32 s12 kW-1] Φ [kW2 m-3]
Horizontal 1 6.109 9.39
Horizontal 2 5.659 10.94
Vertical 1 1.375 185.30
Vertical 2 1.26 220.85